Typically, we do not use knives recreationally. Those who are experienced know that a knife is a tool. If used correctly, it can be very beneficial; if misused, it can harm. And so we learn and teach ourselves the boundaries, so that we may enjoy the benefits of the knife and avoid its potential harm.
So too with 3MMC.
If used correctly, 3MMC can be a very beneficial tool, rewarding its wielder who avoids its possible harms and pitfalls through careful observation and respect for the power of the tool.
3MMC changes our perception of situations. You can be mocked, reprimanded, scolded, criticized, and even beaten, and 3MMC will have you register those treatments as butterflies, milk, and honey.
3MMC is like the VIP service at the airport. It doesn't matter who the passenger is outside of the airport; when they sit in the VIP service chair, they are a VIP.
Any experience occurring under the influence of 3MMC will be cast as a wondrous and delightful thing.
For those of us who are pelted with criticism and insult, 3MMC becomes like a bulletproof force field. Like a magical aura that transforms deadly bullets into tasty marshmallows. Nothing can touch you. Let them ramble on, and you smile back. This melts away swaths of difficulty that people encounter with toxic narrative. Years of pain, knots of subtle trauma, vanish as if they had never been!
But you must be careful. There are rules as to when to use and when not to use 3MMC. You see, 3MMC lacks the wisdom to discern between negative messages intended to insult and those intended to warn. It just paints everything pink.
Back to our knife-wielder. To every stroke, there is a purpose. And also, a projected outcome. A masterful wielder will know the anticipated result of every stroke of the knife and thus will know what to avoid so that the knife may be used only for benefit. It's the wielder who confers good judgment and, therefore, renders the tool beneficial.
The interaction of a molecule with the human body is referred to as molecular dynamics in the field of physical chemistry and pharmacokinetics/pharmacodynamics by pharmacologists and toxicologists. Each single step of the 3MMC molecule’s drunken walk is random and close to impossible to predict individually. However, the final destination of the molecule's accumulated steps is both predictable and consistent.
An action is born…
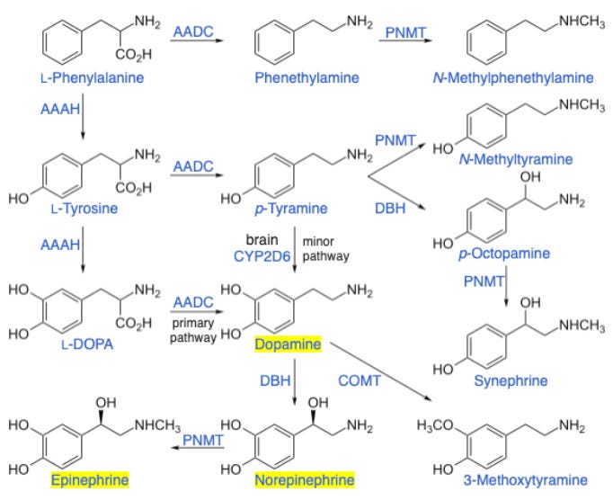
Epinephrine is another name for Adrenaline. Same molecule - two names.
That's why norepinephrine and noradrenaline are the same thing.
You may be able to detect the difference between adrenaline and noradrenaline in the schematic; epinephrine has one more methyl group than norepinephrine. Hence the “nor”.
And what is the biosynthetic precursor of noradrenaline? Dopamine!
We often talk about dopamine as a positive reward, but when observing it in this metabolic perspective, it is acting not as a reward but rather as an incentive.
Dopamine incentivizes, noradrenaline heralds, and adrenaline potentiates action. 3MMC (by up-regulating the metabolic activity of all of these), when ingested (at specific dosages), is observed to amplify creativity, curiosity, introspection, compassion, understanding, and selfless endeavor.
After listing all these desirable and positive properties, I must be careful to not oversell this compound and remind the reader again that the molecule itself does not contain any wisdom or knowledge as to how we should behave in the world. I have witnessed people ignore essential information simply because of the euphoric ambiance that 3MMC instilled in them. Even worse, I have seen some people intentionally exploit the compromised judgment of those under the influence, driving them to do things to their horrible detriment simply because they felt it was right under the blissful spell of 3MMC.
Fortunately, just like a carefully wielded knife, the outcome of using 3MMC is reliably predictable, and we can chart out a usage pattern that consistently keeps us away from possible harms while enjoying the myriad benefits of this tool.